2023年3月電子情報通信学会総合大会で「ICNにおけるIOTAを用いたコンテンツ名管理方式」というタイトルで芝浦工業大学で発表してきました(岡田鉄平)
はじめに
こんにちは.先進ネットワーク研究室B4の岡田鉄平です.
2023年3月7日〜10日に埼玉県さいたま市の芝浦工業大学で開催された電子情報通信学会総合大会にて,「ICNにおけるIOTAを用いたコンテンツ名管理方式」というタイトルで発表しましたので,その報告をさせていただきます.
研究概要
現在のインターネットでは,ユーザがドメイン名の名前解決をDNS (domain name system)サーバに依頼し,回答されたIPアドレスに基づいて,動画像やウェブサイトなどのコンテンツを配信します.一方で,通信開始時にそのような名前解決を行わず,要求されたコンテンツの名称をもとにルータにキャッシュしながら,配信者 (publisher)がコンテンツ要求者 (consumer)に配信を行う情報指向ネットワーク (ICN: information-centric networking)が次世代のネットワークとして注目を集めています.

このICNにおいて,誰でもpublisherとしてコンテンツをアップロードすることができますが,正当なpublisherのふりをした攻撃者が,実在するコンテンツ名で偽のコンテンツをアップロードすることでキャッシュの機能を低下させるCPA (content poisoning attack)の問題が指摘されています.

CPAの対策として,consumerが公開鍵暗号を用いたディジタル署名を検証することにより,コンテンツの正当性を判断することができます.しかし,公開鍵を管理する認証局の職員が攻撃者と結託し,攻撃者の公開鍵に書き換えることにより,実在する高人気コンテンツを騙る偽のコンテンツをキャッシュに注入する,詐称fake型CPAは対策が困難です.
そこで本研究では,登録データの改ざんが困難な分散型台帳技術の一つである,IOTAを用いてコンテンツ名を管理し,詐称fake型CPAを未然に防ぐ方式を提案しています.分散型台帳としては,blockchainが代表的ですが,blockchainは,transactionと呼ばれるデータをブロックに格納し,そのブロックごとに管理しているため,スケール性に課題があるのに対し,IOTAではtransaction毎に管理しているため,スケール性が高いことが特徴です.

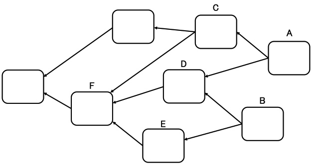
IOTAでは,上図のように,transactionが有向非巡回グラフ (DAG: directed acyclic graph)を形成することにより分散型台帳が実装されます.また,IOTA上での検索時間とメモリ量の増加が懸念されるため,提案方式では,ハッシュチェイン法,二分探索木,幅優先探索,深さ優先探索を各々用いた場合で比較しました.

ハッシュチェイン法,二分探索木ではDAG上のアドレスをハッシュテーブルおよび二分木で管理するため,アドレスの取得後にDAGにアクセスしてコンテンツ名を取得する必要があります.それに対し,幅優先探索,深さ優先探索ではDAG上のtransactionにコンテンツ名が記録されているため,該当transactionを発見した時点で探索が終了します.
シミュレーションによる評価の結果,検索時間ではハッシュチェイン法が最も短く,二分探索木,深さ優先探索,幅優先探索の順に長くなることが確認できました.一方メモリ量では,ハッシュチェイン法が最もメモリを必要としており,二分探索木,DAG (幅優先探索および深さ優先探索)の順に小さくなることを確認しました.従って,検索時間を抑えることを重視する場合は検索時間の短いハッシュチェイン法や二分探索木を用い,メモリ量を抑えることを重視する場合は所要メモリ量の少ない幅優先探索や深さ優先探索を用いるのが望ましいことが明らかになりました.
感想
今回の総合大会では,NS/IN研究会に続き2度目の発表だったので,多少の慣れもありリラックスして臨むことができました.一方で,発表スライドでわかりにくい箇所があり,質疑応答の際に誤解を生んでしまったので,誰が見ても理解しやすいスライド作りを目指したいと思います.

発表のない日は,東京駅地下にある「極味や」というお店に行き,自分でハンバーグやステーキを焼いて食べました.自分で焼き加減を調節することができ,美味しくいただきました.
また,表参道や下北沢にも訪れ,おしゃれな気分を体験しました.東京はどこもアクセスが良く,気軽に赴くことができるので,機会があれば今回行けなかった場所にも訪れてみたいです.

